next up previous
: 参考文献 : 計算物理学:No.2 : メールについて

付録:混合型の Aitken 加速

まず、
\begin{displaymath}
a \approx
a_n^{(1)} = a_n - \frac{(a_{n+1}-a_{n})^2}{a_{n...
...
= a_{n+2} - \frac{(a_{n+2}-a_{n+1})^2}{a_{n+2}-2a_{n+1}+a_n}
\end{displaymath} (9)

は行列式を使った表記で
\begin{displaymath}
a_n^{(1)} = a +
\frac{
\left\vert
\begin{array}{cc}
a_{n+2...
...& a_{n} -a
\end{array}\right\vert
}
{a_{n+2}-2 a_{n+1} +a_{n}}
\end{displaymath} (10)

と書き直せることに注意する。

混合型の ([*]) を次のように書き直す。

\begin{displaymath}
a_n = a + \lambda^n f(n-1), \qquad f(n-1) = c_1 n^{-\alpha_1}
\end{displaymath} (11)

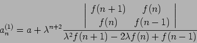
これを上記の式に入れて計算すると、
\begin{displaymath}
a_n^{(1)} = a +
\lambda^{n+2}
\frac{
\left\vert
\begin{arra...
...ray}\right\vert
}
{ \lambda^2 f(n+1) - 2 \lambda f(n) +f(n-1)}
\end{displaymath} (12)

である($\lambda^{n+2}$ を括り出すには、行列式の多重線形性を用いた)。

ここで、分母は、 $c_1 (1-\lambda)^2 n^{-\alpha_1}$, 分子の行列式は

    $\displaystyle \left\vert
\begin{array}{cc}
f(n)+f'(n) +\frac{1}{2}f''(n) & f(n)\\
f(n) & f(n)-f'(n) +\frac{1}{2}f''(n)
\end{array}\right\vert$  
  $\textstyle \approx$ $\displaystyle f(n)f''(n) -(f'(n))^2 \approx c_1^2 \alpha_1 n^{-2\alpha_1 -2}$ (13)

と近似されるので、
\begin{displaymath}
a_n^{(1)} \approx a + \frac{c_1 \alpha_1}{(1-\lambda)^2} \lambda^{n+2}
n^{-\alpha_1-2}
\end{displaymath} (14)

が導かれた。



Kiyohide Nomura 平成17年6月6日